Ipinakikita sa akda na ang tao aynagbabago o nagkakaroon ng panibagong behavior dahil maynag-udyok na mabago o mabuo itoSa nobela maariing pinakita ang pagbabago ng pag-uugalipaniniwala pananaw at pagkatao ni Rafael matapos niyangmaggahasa si Ligaya at matapos siyang ikasal kay MargaritaNoong una ay laki siya sa layaw tomador at walang ibang. BALANGKAS NG PAGSUSURI NG NOBELA NI.


Pagsusuri Ng Nobela Pdf

PAANONG ANG KAPATID KONG SI LEON AY NAKAPAG-UWI NG ASAWA SA BAHAY.

Pagsusuri ng nobela format. So this tool was designed for free download documents from the internet. Nobela maikling kuwento tula sanaysay o iba pang gawauri ng panitikan. Ngayon tiyak na magugustuhan mong basahin ang isang bahagi ng nobela.

DULA SAPAGKAT ITOY NAGSASAAD NG ISA O HIGIT PANG PANGYAYARI NA GINAMPANAN NG ISA O HIGIT PANG TAUHAN AT ITO AY KARANIWANG ITINATANGHAL SA DULAAN O. - Kahit anong gawin nila bandera koy di tutumba IV. Pagsusuri ng isang nobela by glory6gwendolyn6n6v.

PINEDA Sa isang lipunan edukasyon ang nagsisilbing pinakasusi ng sibilisasyon sapagkat ito ay natatanging daan patungo sa kaunlaran. Panimula Si Benjamin P. Batid ko rin na pinagsisikapan mong mabuti na masagot ang mga gawain sa nakaraang modyul.

Sa pamamagitan ng pamamagitan ng pagbibigay ng mga pahiwatig maaring mga tanda o matatalinhagang pananalita ay nasasabi niya nang mahusay ang nais niyang sabihin. Pascual ay ipinanganak sa Lungsod ng Laoag Ilocos NorteIsa siyang kuwentista at nobelista. Format sa Pagsusuri ng Maikling Kuwento.

Jose Rizal ay kilala bilang pambansang bayani ng Pilipinas. HALIMBAWA NG PAGSUSURI DULA Status Update iii. Ang mga Tayutay Ang tayutay ay mga pahayag na ginagamit ng makata o manunulat man upang sadyang ilayo sa karaniwang paggamit ang mga salita nang sa gayon ay nagkakaroon ito ng.

Sa akda ni Lualhati Bautista na Dekada Sintenta ipinakita nito ang lubos na paglalarawan sa tinahak at karanasan ng mga tao noong Martial Law. Mahahalagang talasalitaang dapat maunawaan ng mambabasa. 8 Mar 2011 Tattoo are aware Isang Halimbawa Ng Maikling Nobela what rid of red and.

Format sa paggawa ng suring pelikula. Piksyunal Nobela na mayroong tatlumput pitong 37 kabanata Pamagat. About Us We believe everything in the internet must be free.

Mundomga pahina at napkin na nakita sa mga. Masasabing bahagi ng pagkatao ng mga Pilipino ang Noli me Tangere at El Filibusterismo. Suring pelikula format 1.

El Filibusterismo ni Jose Rizal Genre. Kamangha- mangha rin ang naging estilo ni Bautista dahil iwinaksi nito ang tradisyunal na paggamit ng mga pormal na salita sakanyang akda. 12 STEM PAGSUSURI SA SANAYSAY NA AMERIKANISASYON NG ISANG PILIPINO NI PONCIANO BP.

Ay isang anyo ng pagsusuri o rebyu ng binasang teksto o akda tulad ng nobela maikling kuwento tula sanaysay o iba pang gawauri ng panitikan. Pagsusuri ng Pagsasakontemporanyo sa Noli at Fili Dekada Dos Mil. Minimum ng limang pangungusap A.

FormatTemplate Sa Pagsusuri NG Maikling Kuwento. Banaag At Sikat Kabanata 1 b. 2011-2012 Isang Suring Pelikula sa Pelikulang _____ Isang Komplisyon sa Ikaapat na Markahan sa Asignaturang Filipino II Isinumite kay.

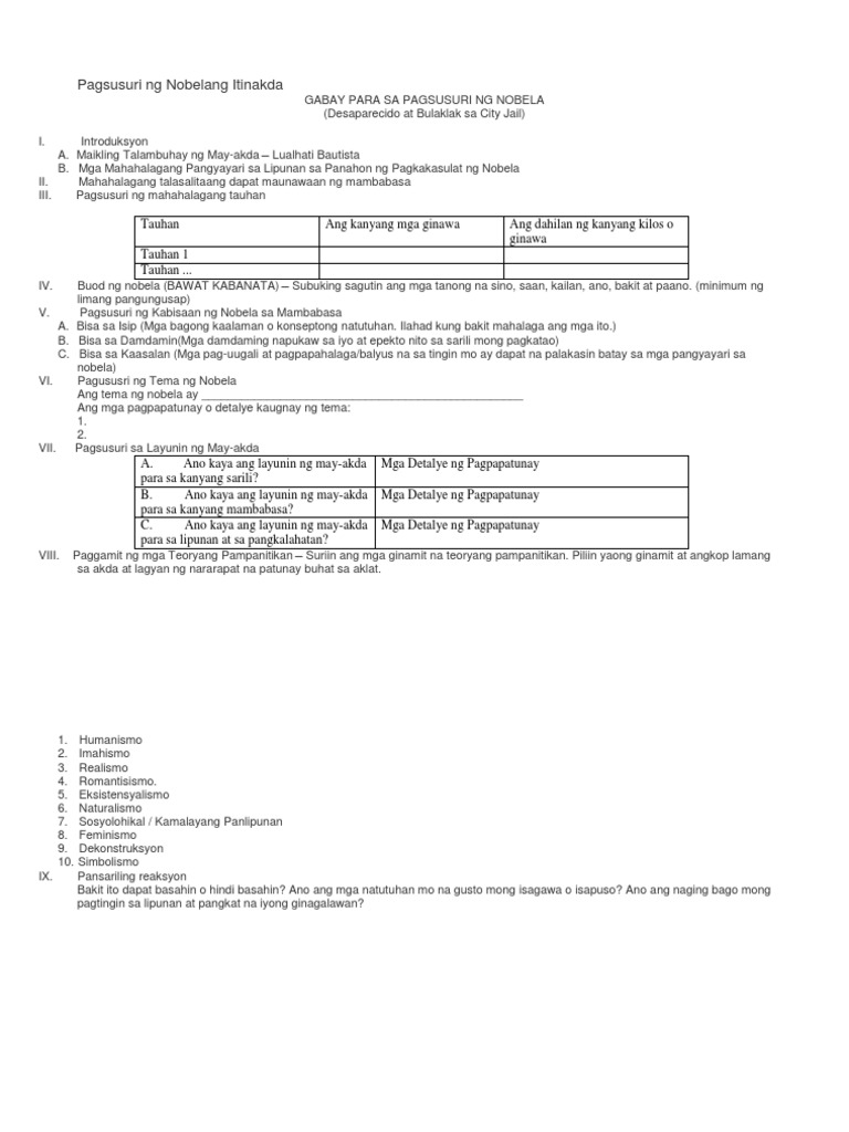
Pagsusuri ng Nobelang Itinakda. PAGSUSURI NG AKDA I. Ang isa pang teorya na maaari kong banggitin sa pagsusuri ay ang posibilidad na ang kakaibang compilation tome na ito ng mga sketch at paghahanda ng nobela ay resulta ng propesyonal na dedikasyon ng isang squad ng mga sinanay na unggoy at limang taon ng nakatutuwang pag-type mula sa buong mundo.

Sa pagsasagawa nito maaaring gumamit ng isang balangkas o format ng suring-basa tulad ng sumusunod. TTaauuhhaann DDiittoo ssaa bbaahhaaggiinngg iittoo iinniiiissaa-- iissaa aanngg mmggaa nnaaggssiiggaannaapp ssaa. Unang nakilala bilang matinik na kuwentista si Pascual bago niya sineryoso ang pagiging isang nobelista.

Download pagsusuri sa Nobela Free in pdf format. Pagsusuri ng mahahalagang tauhan. Close suggestions Search Search.

Santos - Siya ay isang tanyag na manunulat sa wikang Tagalog noong kaniyang kapanahunan sa simula ng ika-1900 dantaon. Uri ng pampanitikan like comment share ANG AKDA AY ISNAG DULA. Mula noon marami nang naging ibat ibang pagtatanghal ng dalawang.

Ang nobelang ito ay isang produksyon hango sa mga naging karanasan ni Hemmingway bilang isang awtor sa loob ng 16. Sa mga modyul na sadyang inihanda para sa iyo alam ko na marami ka nang natutuhang aralin. Siya ang kauna-unahang Pilipino na naglakas-loob mag-aklas sa Rehimeng Espanyol gamit ang pluma upang.

Drama Aksyon Pagkilala sa May-Akda. BALANGKAS NG PAGSUSURI NG MAIKLING KWENTO NI. Bisa sa Isip Mga bagong kaalaman o konseptong.

Legal Notice We are not associated with any website in anyway. Ang suring basa ay isang anyo ng pagsusuri o rebyu ng binasang teksto o akda tulad ng nobela maikling kuwento tula sanaysay o iba pang gawauri ng panitikan. Pamagat ng Katha b.

Pascual Siya ay ipinanganak sa Lungsod ng Laoag Ilocos Norte. PAGSUSURI NG NOBELA 2. Casador Rochelle Dominique T.

PAGSUSURI PAKSA __Ang paksa ng lirikong tula na Sirena ay patungkol sa kaniyang karanasan sa pagiging bakla. Edukasyon ang pinakapangangailangan ng bawat Pilipino lalo nat. Click to expand document information.

BALANGKAS NG NOBELA a. Pagsusuring Pampanitikan Ang Kalupi ni Benjamin Pascual I. Pagsusuri o Rebyu Ay ang pag-alam sa nilalaman content kahalagahan importance at ang estilo ng awtor o may-akda authors writing style.

100 2 100 found this document useful 2 votes 878 views 2 pages. MARY FLOR BURAC I. Ang pagsusuri o rebyu ay ang pag-alam sa nilalaman content kahalagahan importance at ang estilo ng awtor o may-akda authors writing style.

Teksto o akda tulad ng nobela maikling kuwento tula sanaysay o iba pang gawauri ng panitikan. Example sentence for pagsusuri in Tagalog. Ano ang natuklasan mo sa iyong pagsusuri ng nobela.

Nagsimula siyang sumulat noong dekada 1950 sumubok mag-ambag sa komikshanggang hiranging maging staffer ng Liwayway. Pagsusuri ng nobela 1. Kasali na rito kung paano siya tinatrato ng kaniyang ama at kung paano siya gumalaw at kung paano niya bihisan at ayusan ang kaniyang sarili.

Ang Matanda at Ang dagat Sundin ang format na ito para sa nilalamanI. Ang pagsusuri o rebyu ay ang pag-alam sa nilalaman content kahalagahan importance at ang estilo ng awtor o may-akda authors writing style. Pagsusuri ng Akda sa Teoryang Realismo Tungkol saan ang modyul na ito.

Buod ng nobela BAWAT KABANATA Subuking sagutin ang mga tanong na sino saan kailan ano bakit at paano. Marami na siyang naisulat na maikling kuwento sa wikang Ilokano at nakasulat na rin ng dalawang nobela sa wikang ito. _ DIWA _-_Karanasan ng bakla simula pagka bata hanggang pagtanda.

Pagsusuri ng Nobelang Dekada 70 ni Lualhati Bautista. Elizabeth Seton School Yunit ng Mataas na Paaralan Taong Panuruan. Sa pagsulat ng dalawang nobela naipakita ni Rizal ang katiwalian sa simbahan at gobyerno sa Pilipinas noong panahon niya.

Bukod sa pagiging manunulat isa rin siyang abogado kritiko lider obrero at.


Pagsusuri Ng Nobelang Itinakda Pdf